Free Access

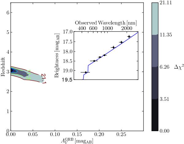
Fig. 3

thumbnail

Contour plot of Δχ2 values for each of the host-galaxy dust (AV) and GRB redshift (z) parameters used in the fitting grid (Sect. 3.1) in comparison to the best-fit power law (β = 0.9) and SMC-like dust model. The other dust model contour plots are not included, as they do not portray any different information. The inset is the broadband SED, the black dots are GROND data, and the blue line depicts the best-fit power law. The significance levels for 3 d.o.f. are: 1σ = 68.3%, Δχ2 = 3.5, 2σ = 90%, Δχ2 = 6.3, 3σ = 99%, Δχ2 = 11.4, 4σ = 99.99%, and Δχ2 = 21.1.

Current usage metrics show cumulative count of Article Views (full-text article views including HTML views, PDF and ePub downloads, according to the available data) and Abstracts Views on Vision4Press platform.

Data correspond to usage on the plateform after 2015. The current usage metrics is available 48-96 hours after online publication and is updated daily on week days.

Initial download of the metrics may take a while.