Free Access

Fig. 6

thumbnail

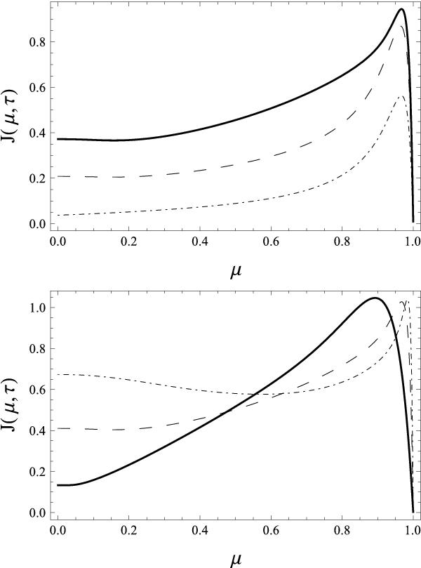
Upper panel: angular distribution of ordinary photons for 0 ≤ μ ≤ 1 and optical depth τ0 = 20. Solid line: angular distribution for the sum of the first ten eigenfunctions and relative coefficients ck obtained with the algorithm described by AS08. Dashed line: same function calculated with the first eigenfunction and coefficient from the algorithm of AS08. Dot-dashed line: same function, but defined as in Eq. (29) of L88. Lower panel: angular distribution of the ordinary photons emerging at the top of the slab (0 < μ < 1) for eigenfunctions and relative weights up to k = 10 for the cases of optical depth τ0 = 5 (solid line), τ0 = 20 (dashed line), and τ0 = 40 (dot-dashed line).

This figure is made of several images, please see below:

Current usage metrics show cumulative count of Article Views (full-text article views including HTML views, PDF and ePub downloads, according to the available data) and Abstracts Views on Vision4Press platform.

Data correspond to usage on the plateform after 2015. The current usage metrics is available 48-96 hours after online publication and is updated daily on week days.

Initial download of the metrics may take a while.