Free Access

Fig. 17

thumbnail

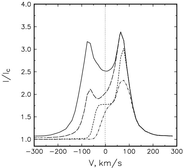
Influence of screening by an optically thick, dusty disk wind or a flared dusty disk (scenario in Fig. 15 right) on the Brγ line profile (model B6; inclination angle i = 70°; see Table 1). The solid line represents the unscreened line profile, while the long-dashed (hs = 100  R; θ = 20°), short-dashed (hs = 120  R; θ = 20°), and dotted-dashed (hs = 130  R; θ = 25°) lines show models with screening.

Current usage metrics show cumulative count of Article Views (full-text article views including HTML views, PDF and ePub downloads, according to the available data) and Abstracts Views on Vision4Press platform.

Data correspond to usage on the plateform after 2015. The current usage metrics is available 48-96 hours after online publication and is updated daily on week days.

Initial download of the metrics may take a while.