Free Access

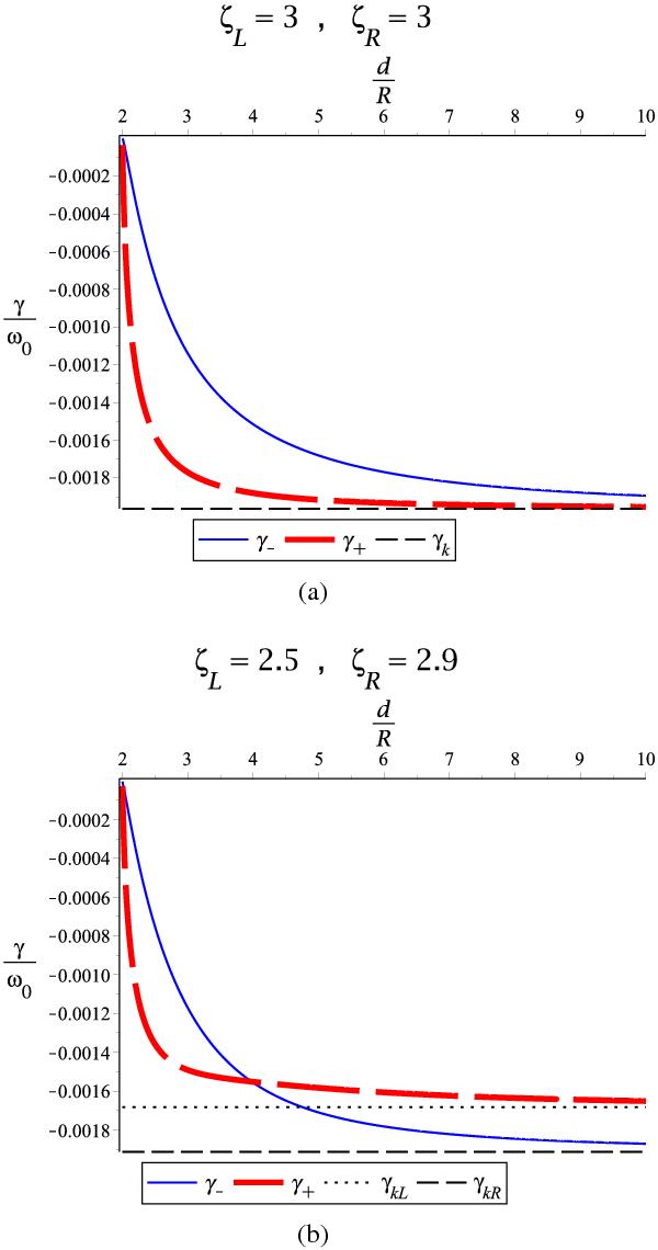
Fig. 4

thumbnail

Dependence of the damping rate γ/ω0 (where ω0 can be either ω+ or ω) on the separation between the loops. a) Equal loop densities ζL = ζR = 3. b) Unequal loop densities ζL = 2.5, ζR = 2.9. The damping rate corresponding to ω is shown as full lines, while the damping rate corresponding to ω+ is shown as thick dashed lines. The damping rates for the kink oscillations of the individual loops (thin dashed and dotted lines) are also shown.

This figure is made of several images, please see below:

Current usage metrics show cumulative count of Article Views (full-text article views including HTML views, PDF and ePub downloads, according to the available data) and Abstracts Views on Vision4Press platform.

Data correspond to usage on the plateform after 2015. The current usage metrics is available 48-96 hours after online publication and is updated daily on week days.

Initial download of the metrics may take a while.