Free Access

Fig. 6

thumbnail

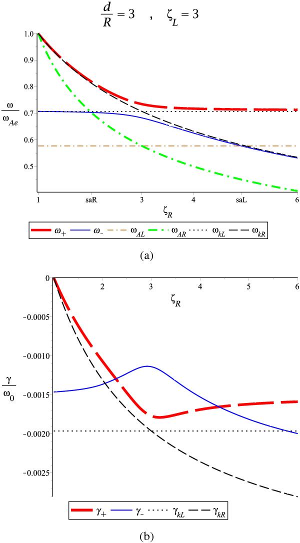
Dependence of the real part ω of the eigenfrequencies and the corresponding damping rate γ/ω in the two-loop system as a function of the density in the right tube ζR for fixed ζL = 3 and d/R = 3. a) Eigenfrequencies ω+ (thick dashed line) and ω (full line) as a function of ζR, together with the Alfvén frequencies of the left and right tubes (dashed-dotted lines), marking two transition points between standard and anomalous systems (indicated by saR and saL on the horizontal axis, referring to the loop that cannot support the global oscillation), and the individual kink frequencies of the two tubes (dotted and dashed lines). b) Ratio of damping rate to real part of the eigenfrequency of the two-loop system γ/ω0, where ω0 can be either ω+ (thick dashed line) or ω (full line), and of the left (dotted line) and right (dashed line) loop as a function of ζR.

This figure is made of several images, please see below:

Current usage metrics show cumulative count of Article Views (full-text article views including HTML views, PDF and ePub downloads, according to the available data) and Abstracts Views on Vision4Press platform.

Data correspond to usage on the plateform after 2015. The current usage metrics is available 48-96 hours after online publication and is updated daily on week days.

Initial download of the metrics may take a while.