Free Access

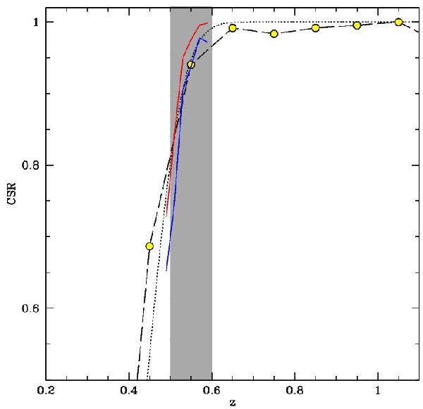
Fig. 11

thumbnail

Colour sampling rate (CSR) for the VIPERS spectroscopic sample. Dashed line and dots: the CSR as computed from the VVDS sample; dotted line: the functional fit; solid lines: CSR computed from the photometric sample for blue and red galaxies. The shaded area underlines the redshift range where the CSR has to be applied.

Current usage metrics show cumulative count of Article Views (full-text article views including HTML views, PDF and ePub downloads, according to the available data) and Abstracts Views on Vision4Press platform.

Data correspond to usage on the plateform after 2015. The current usage metrics is available 48-96 hours after online publication and is updated daily on week days.

Initial download of the metrics may take a while.