Free Access

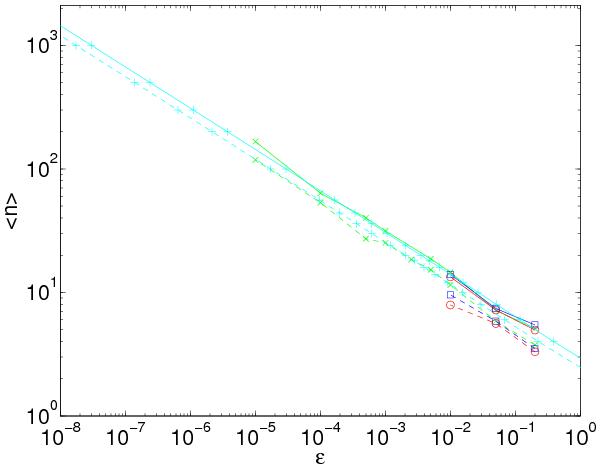
Fig. 5

thumbnail

Mean value of the spatial degree < n >, for the modes with a growth rate of at least 0.1σud (dashed lines) or 0.8σud (solid lines) as a function of ϵ for β = 0 (green x), β = 2.8 (red circles), and β = 18 (blue squares), together with fits according to Eq. (31).

Current usage metrics show cumulative count of Article Views (full-text article views including HTML views, PDF and ePub downloads, according to the available data) and Abstracts Views on Vision4Press platform.

Data correspond to usage on the plateform after 2015. The current usage metrics is available 48-96 hours after online publication and is updated daily on week days.

Initial download of the metrics may take a while.