Free Access

Fig. 1

thumbnail

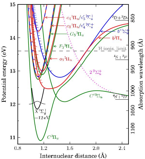
Diabatic-basis potential-energy curves of N2 excited states relevant to ultraviolet photoabsorption and photodissociation. The energy scale is referenced to v = 0, J = 0 of the ground state and is related to the wavelength scale assuming transitions from this fundamental level. Also indicated are the excitation states of atomic products arising from dissociation and the absorption limit imposed by the ionisation of atomic H. The potential-energy curves of the and states are indistinguishable at the plotted scale. The N2 ionisation potential energy occurs at 15.4 eV in this figure.

Current usage metrics show cumulative count of Article Views (full-text article views including HTML views, PDF and ePub downloads, according to the available data) and Abstracts Views on Vision4Press platform.

Data correspond to usage on the plateform after 2015. The current usage metrics is available 48-96 hours after online publication and is updated daily on week days.

Initial download of the metrics may take a while.