Free Access

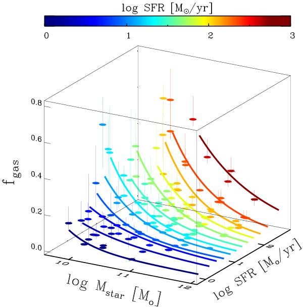
Fig. 11

thumbnail

Representation of the 3D fundamental fgasMstar–SFR relation. The colour code indicates the average SFR of each bin. The best-fit relations shown in Fig. 8 are overplotted.

Current usage metrics show cumulative count of Article Views (full-text article views including HTML views, PDF and ePub downloads, according to the available data) and Abstracts Views on Vision4Press platform.

Data correspond to usage on the plateform after 2015. The current usage metrics is available 48-96 hours after online publication and is updated daily on week days.

Initial download of the metrics may take a while.