Free Access

Fig. 11

thumbnail

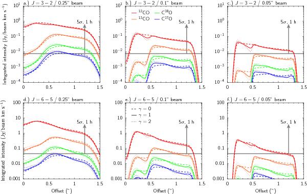
Beam convolved integrated emission of the CO isotopologues for the J = 3−2 and J = 6−5 transition shown along the cut through the major axis of the disk. The cuts are given for beam sizes of 0.25′′, 0.1′′, and 0.05′′. The 5σ detection limit within 1 h of the full ALMA using 50 12 m antennas is indicated by the horizontal grey line. Models with a surface density profile slope of γ = 0 (dashed line), γ = 1 (solid line), and γ = 2 (dotted line) are shown.

Current usage metrics show cumulative count of Article Views (full-text article views including HTML views, PDF and ePub downloads, according to the available data) and Abstracts Views on Vision4Press platform.

Data correspond to usage on the plateform after 2015. The current usage metrics is available 48-96 hours after online publication and is updated daily on week days.

Initial download of the metrics may take a while.