Free Access

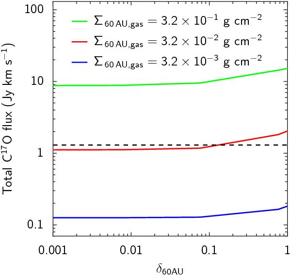
Fig. 9

thumbnail

Total flux of C17O for models with Σ60  AU,gas = 3.2 × 10-1,3.2 × 10-2, and 3.2 × 10-3 g cm-2 as a function of the gas surface density at 20−60 AU (δ60  AU). The vertical dashed line shows the observed total flux. The red line indicates the representative model.

Current usage metrics show cumulative count of Article Views (full-text article views including HTML views, PDF and ePub downloads, according to the available data) and Abstracts Views on Vision4Press platform.

Data correspond to usage on the plateform after 2015. The current usage metrics is available 48-96 hours after online publication and is updated daily on week days.

Initial download of the metrics may take a while.