Free Access

Fig. 3

thumbnail

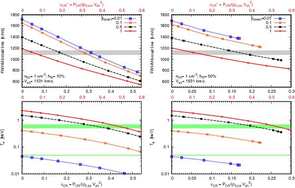
Top panels: FWHM of the broad Balmer line as a function of the CR acceleration efficiency for a neutral fraction hN = 10% (left) and hN = 50% (right). Different lines show a different electron-ion equilibration level as labeled. The shaded area shows the FWHM as measured in the SEout region by Helder et al. (2013) at 1σ level. Bottom panels: electron temperature immediately behind the shock as a function of the CR acceleration efficiency for hN = 10% (left) and hN = 50% (right). The shaded area shows Te as measured by Helder et al. (2011), while the straight line at ~0.05 keV is the value estimated by the same authors for Te immediately behind the shock. All results refer to a shock velocity of Vsh = 1531     km   s-1 and a total gas density of n0 = 1   cm-3.

Current usage metrics show cumulative count of Article Views (full-text article views including HTML views, PDF and ePub downloads, according to the available data) and Abstracts Views on Vision4Press platform.

Data correspond to usage on the plateform after 2015. The current usage metrics is available 48-96 hours after online publication and is updated daily on week days.

Initial download of the metrics may take a while.