Free Access

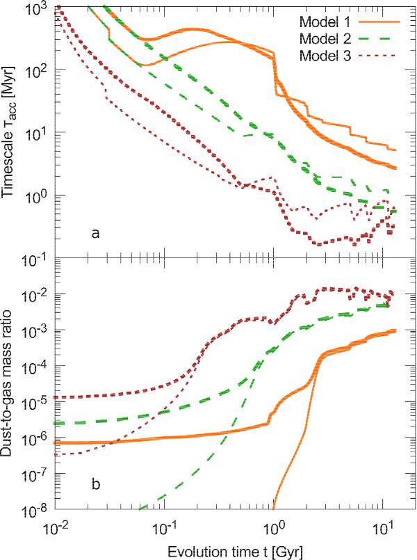
Fig. 2

thumbnail

a) Time evolution of accretion time scales for silicate and carbonaceous grains (thin and thick lines) for Models 1–3 (solid, long-dashed and short-dashed lines, respectively). b) Dust-to-gas mass ratio (DGR) evolution with time from the onset of galaxy formation for Models 1–3 shown with the same line types as in the top panel. Thick and thin lines show the total DGR and the DGR calculated with only the ISM-grown dust.

Current usage metrics show cumulative count of Article Views (full-text article views including HTML views, PDF and ePub downloads, according to the available data) and Abstracts Views on Vision4Press platform.

Data correspond to usage on the plateform after 2015. The current usage metrics is available 48-96 hours after online publication and is updated daily on week days.

Initial download of the metrics may take a while.