Free Access

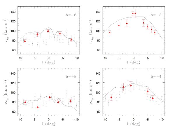
Fig. 8

thumbnail

Radial velocity dispersion as a function of Galactic longitude for GIBS fields at different latitudes (red triangles) compared to the models by Martinez-Valpuesta et al. (2006, solid lines) at the same latitudes. Data from the BRAVA survey, when available, are also plotted in gray.

Current usage metrics show cumulative count of Article Views (full-text article views including HTML views, PDF and ePub downloads, according to the available data) and Abstracts Views on Vision4Press platform.

Data correspond to usage on the plateform after 2015. The current usage metrics is available 48-96 hours after online publication and is updated daily on week days.

Initial download of the metrics may take a while.