Free Access

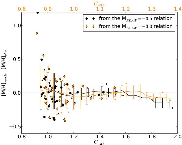
Fig. 12

thumbnail

Error distribution of the metallicity determination using the inverted color–metallicity relations. Lines with error bars are the running mean and standard deviation which are computed using a bin width of 0.3 mag for C-3.5 and 0.15 mag for C-3.0. Symbols and colors are as in Fig. 2. Note the different scales on the x-axes for the two distributions.

Current usage metrics show cumulative count of Article Views (full-text article views including HTML views, PDF and ePub downloads, according to the available data) and Abstracts Views on Vision4Press platform.

Data correspond to usage on the plateform after 2015. The current usage metrics is available 48-96 hours after online publication and is updated daily on week days.

Initial download of the metrics may take a while.