Free Access

Fig. 2

thumbnail

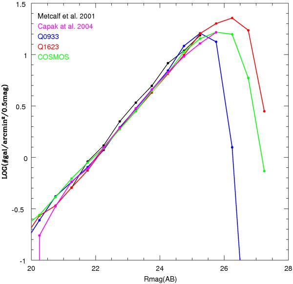
Galaxy counts (number of sources per 0.5 mag per arcmin2) in the R band derived from our analysis separately in each field. There is good agreement with previous estimates (Metcalfe et al. 2001; Capak et al. 2004), which is a strong indication of the robustness of our photometry.

Current usage metrics show cumulative count of Article Views (full-text article views including HTML views, PDF and ePub downloads, according to the available data) and Abstracts Views on Vision4Press platform.

Data correspond to usage on the plateform after 2015. The current usage metrics is available 48-96 hours after online publication and is updated daily on week days.

Initial download of the metrics may take a while.