Free Access

Fig. 6

thumbnail

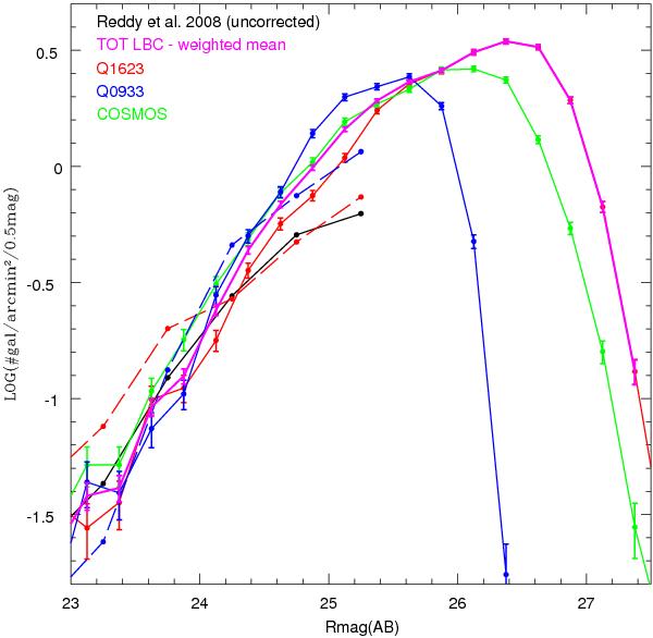
Number counts of LBG candidates in each field of our survey. The dashed lines represent the number counts of the candidates in the relative fields obtained by Steidel’s catalogs (Steidel et al. 2003). The total counts for all Steidel fields were obtained from Table 2 of Reddy et al. (2008), and they are not corrected for contamination or completeness. The magenta curve shows the weighted mean of the total raw LBG counts in this survey.

Current usage metrics show cumulative count of Article Views (full-text article views including HTML views, PDF and ePub downloads, according to the available data) and Abstracts Views on Vision4Press platform.

Data correspond to usage on the plateform after 2015. The current usage metrics is available 48-96 hours after online publication and is updated daily on week days.

Initial download of the metrics may take a while.