Free Access

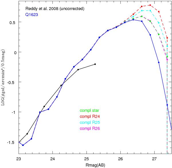
Fig. 8

thumbnail

Completeness corrections derived from simulations in Q1623, which is the deepest of our fields, using PSFs created by stacking real stellar and extended sources in different bins of magnitude.

Current usage metrics show cumulative count of Article Views (full-text article views including HTML views, PDF and ePub downloads, according to the available data) and Abstracts Views on Vision4Press platform.

Data correspond to usage on the plateform after 2015. The current usage metrics is available 48-96 hours after online publication and is updated daily on week days.

Initial download of the metrics may take a while.