Free Access

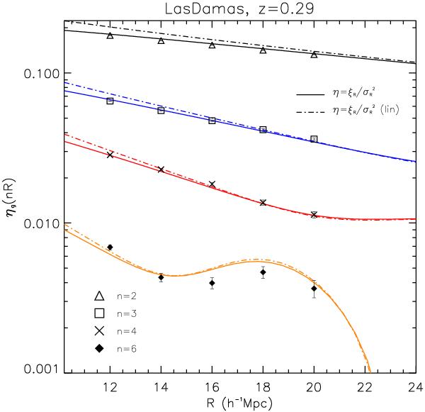
Fig. 1

thumbnail

Redshift-space galaxy clustering ratio ηg,R(nR) (LHS of Eq. (21)) extracted from 160 independent LasDamas simulations of the distribution of luminous red galaxies (LRG, see Sect. 4). The observable ηg,R(nR) is shown as a function of the smoothing radius R for four different values of n as indicated in the key. Simulated observations are compared to the predicted amplitudes of the real-space mass clustering ratio ηR(nR) (RHS of Eq. (21)) for the same values of n. Dot-dashed lines show predictions obtained using a linear power spectrum, while solid lines are derived using the non-linear (halofit) model of Smith et al. (2003). Both the galaxy and mass clustering ratios are derived by adopting the same cosmological parameters of the LasDamas simulations. Error bars represent the uncertainties expected from a redshift survey covering a volume 160 times larger than that explored by the LRG sample used in this study.

Current usage metrics show cumulative count of Article Views (full-text article views including HTML views, PDF and ePub downloads, according to the available data) and Abstracts Views on Vision4Press platform.

Data correspond to usage on the plateform after 2015. The current usage metrics is available 48-96 hours after online publication and is updated daily on week days.

Initial download of the metrics may take a while.