Free Access

Fig. 6

thumbnail

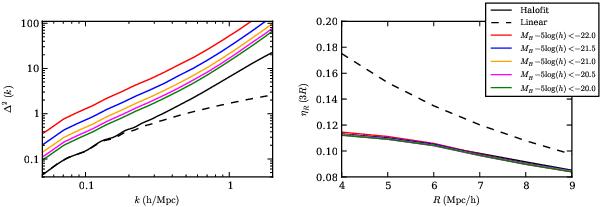
Left:best-fitting galaxy power spectra given the halo occupation distribution model fits for VIPERS galaxies in de la Torre et al. (2013). We examine five luminosity thresholded samples from MB < −22.0 to MB < −20 at z = 0.8. The HALOFIT matter power spectrum (black curve) and linear power spectrum (dashed curve) are overplotted. The galaxy power spectra are consistent with a luminosity-dependent constant bias model with respect to HALOFIT up to k = 1   h /Mpc. Right: values for the clustering ratio ηR(3R) are computed for the VIPERS galaxy power spectra. We find an agreement with the HALOFIT prediction at the 2% level at all scales down to R = 4   h-1 Mpc.

Current usage metrics show cumulative count of Article Views (full-text article views including HTML views, PDF and ePub downloads, according to the available data) and Abstracts Views on Vision4Press platform.

Data correspond to usage on the plateform after 2015. The current usage metrics is available 48-96 hours after online publication and is updated daily on week days.

Initial download of the metrics may take a while.