Free Access

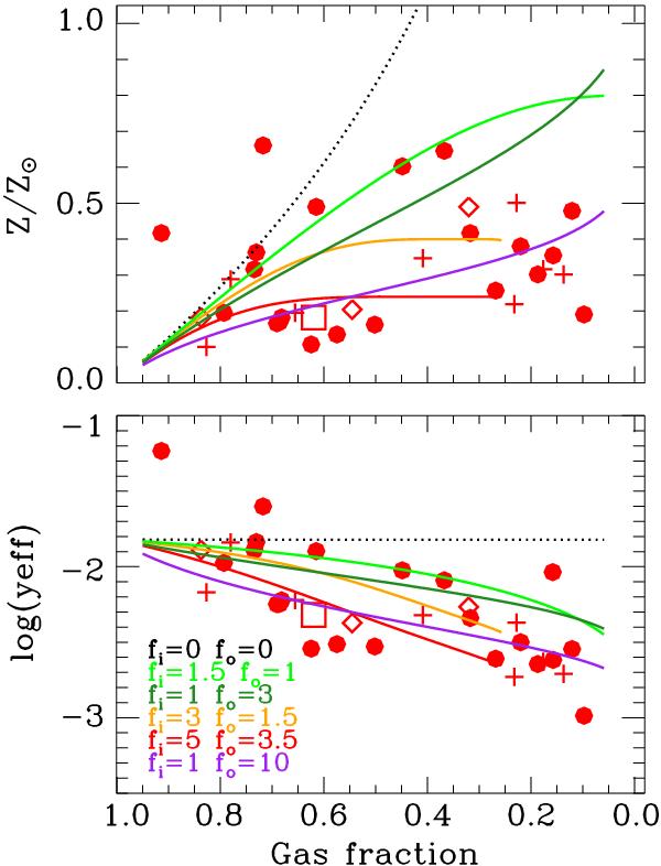
Fig. 10

thumbnail

Metallicities and effective yields as a function of gas fraction for the galaxies in our sample at z ~ 3, with the same symbols as in the previous figures. In both panels the Erb (2008) models for various inflows fi, outflows fo rates (relative to the SFR) are shown. The dotted black line is the closed-box model (fi = fo = 0). In the bottom panel (lower-right corner), the inflows and outflows rates in units of the SFR are shown for every model (with different color-coding).

Current usage metrics show cumulative count of Article Views (full-text article views including HTML views, PDF and ePub downloads, according to the available data) and Abstracts Views on Vision4Press platform.

Data correspond to usage on the plateform after 2015. The current usage metrics is available 48-96 hours after online publication and is updated daily on week days.

Initial download of the metrics may take a while.