Free Access

Fig. 2

thumbnail

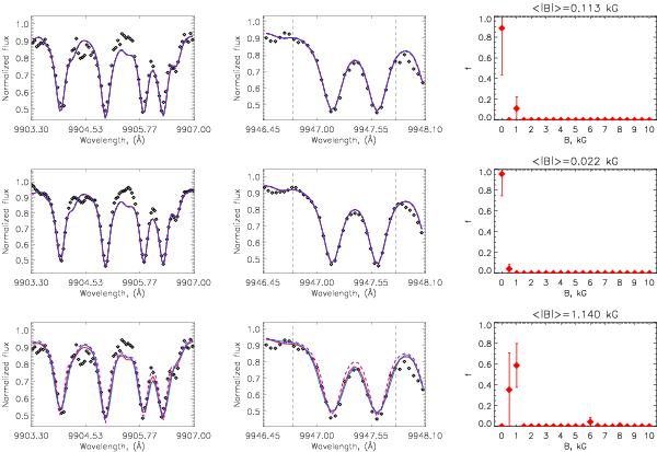
Examples of theoretical fits to selected FeH lines and resulting distributions of filling factors for two spectra of GJ 1002 taken in two different observing runs with CRIRES. Top panels: run 385.D-0273, Teff = 3100 K, α(Fe) = −4.37, υsini = 2.43 km s-1. Middle panels: run 079.D-0357, Teff = 3100 K, υsini = 1.85 km s-1, α(Fe) = −4.47. Bottom panels: same as top panels but adopting atmospheric parameters from the middle panels: implementation of these parameters results in a spurious detection of the magnetic field as illustrated on the corresponding plot of filling factors (see text). Dashed violet line: computation with zero magnetic field; red line: computation with multi-component magnetic field shown on the right hand side; blue line: computations with homogeneous magnetic field (i.e. f = 1) of the same average intensity as multi-component magnetic field. Vertical dashed lines mark the edges of the actual fit region.

Current usage metrics show cumulative count of Article Views (full-text article views including HTML views, PDF and ePub downloads, according to the available data) and Abstracts Views on Vision4Press platform.

Data correspond to usage on the plateform after 2015. The current usage metrics is available 48-96 hours after online publication and is updated daily on week days.

Initial download of the metrics may take a while.