Free Access

Fig. A.1

thumbnail

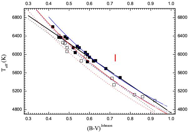
Our calibration for the (B − V)Johnson index compared to literature results. The adopted 1σTeff error (see text) is shown as the thick red vertical bar. Full squares are stars with [Fe/H]>+0.10 dex, open squares with [Fe/H]<+0.10 dex. The black full and dotted lines refer, respectively, to our calibrations for [Fe/H] = +0.00 and [Fe/H] = 0.50; the red and blue lines follow the same [Fe/H] convention for the relations of Alonso et al. (1996) and Casagrande et al. (2006), respectively.

Current usage metrics show cumulative count of Article Views (full-text article views including HTML views, PDF and ePub downloads, according to the available data) and Abstracts Views on Vision4Press platform.

Data correspond to usage on the plateform after 2015. The current usage metrics is available 48-96 hours after online publication and is updated daily on week days.

Initial download of the metrics may take a while.