Free Access

Fig. 9

thumbnail

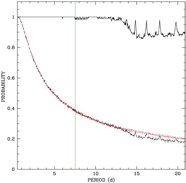
Black solid line: probability for the transit of a second putative planet occurring at least once during the Spitzer observations as a function of the orbital period, for periods up to 20.9 d. Black dots: transit probability for a second planet, taking into account the transiting nature of GJ 1214 b (see Sect. 5.2 for details). The red line shows the product of the two probabilities. The green vertical line shows the inner limit of the HZ as computed from Eq. (12) of Zsom et al. (2013).

Current usage metrics show cumulative count of Article Views (full-text article views including HTML views, PDF and ePub downloads, according to the available data) and Abstracts Views on Vision4Press platform.

Data correspond to usage on the plateform after 2015. The current usage metrics is available 48-96 hours after online publication and is updated daily on week days.

Initial download of the metrics may take a while.