Free Access

Fig. 12

thumbnail

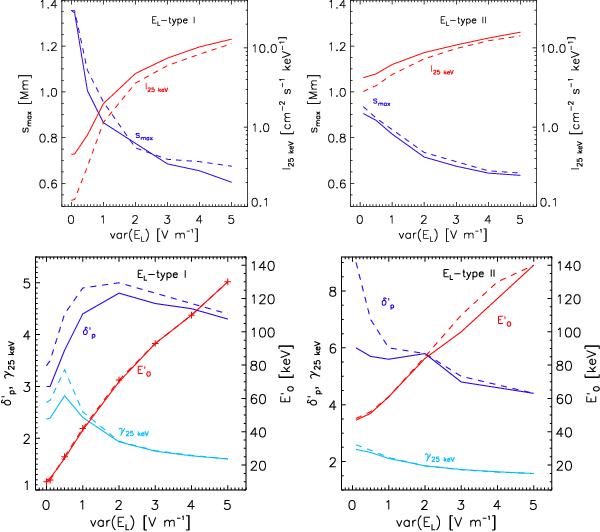
LRTTM EL-I (left) and EL-II (right) (for V m-1) summary of calculated and fitted parameters of chromospheric bombardment for various values of var(EL). Top: position of energy deposit maximum smax and HXR intensity I25 keV. Bottom: HXR spectral index γ25 keV and fitted electron beam spectral index and low-energy cutoff . The solid and dashed lines denote MFF and MSU, respectively.

This figure is made of several images, please see below:

Current usage metrics show cumulative count of Article Views (full-text article views including HTML views, PDF and ePub downloads, according to the available data) and Abstracts Views on Vision4Press platform.

Data correspond to usage on the plateform after 2015. The current usage metrics is available 48-96 hours after online publication and is updated daily on week days.

Initial download of the metrics may take a while.