Free Access

Fig. 5

thumbnail

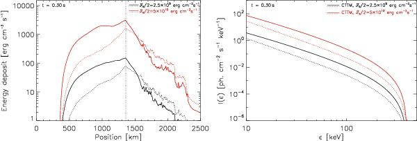
Left: CTTM instantaneous energy deposits into the VAL C atmosphere at t = 0.3 s for energy fluxes 0/2 = 5 × 1010 erg cm-2 s-1 (red lines) and 0/2 = 2.5 × 109 erg cm-2 s-1 (black lines). The dotted vertical line indicates the bottom boundary of the magnetic mirror. Right: the HXR spectra integrated over one half of the loop. In both panels the solid lines represent MFF, the dotted lines MSU case.

This figure is made of several images, please see below:

Current usage metrics show cumulative count of Article Views (full-text article views including HTML views, PDF and ePub downloads, according to the available data) and Abstracts Views on Vision4Press platform.

Data correspond to usage on the plateform after 2015. The current usage metrics is available 48-96 hours after online publication and is updated daily on week days.

Initial download of the metrics may take a while.