Free Access

Fig. 2

thumbnail

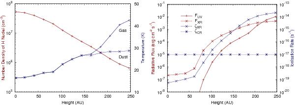
Physical conditions as a function of disk height at a radius, R = 305 AU. Number density of H nuclei (cm-3) and gas and dust temperature (K) are shown in the left-hand panel (solid red lines, solid blue lines, and dashed blue lines, respectively). UV and X-ray radiative fluxes (erg cm-2 s-1) and X-ray and cosmic-ray ionisation rates (s-1) are shown in the right-hand panel (solid red lines, dashed red lines, dashed blue lines, and dotted blue lines, respectively).

This figure is made of several images, please see below:

Current usage metrics show cumulative count of Article Views (full-text article views including HTML views, PDF and ePub downloads, according to the available data) and Abstracts Views on Vision4Press platform.

Data correspond to usage on the plateform after 2015. The current usage metrics is available 48-96 hours after online publication and is updated daily on week days.

Initial download of the metrics may take a while.