Free Access

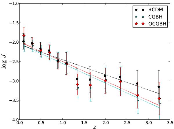
Fig. 4

thumbnail

Consistency functions for the monochromatic 100 μm LFs computed in the three cosmological models used in the present work. These functions are related to the redshift evolution of the baryon-to-total mass fraction (see text for detail).

Current usage metrics show cumulative count of Article Views (full-text article views including HTML views, PDF and ePub downloads, according to the available data) and Abstracts Views on Vision4Press platform.

Data correspond to usage on the plateform after 2015. The current usage metrics is available 48-96 hours after online publication and is updated daily on week days.

Initial download of the metrics may take a while.