Free Access

Fig. 5

thumbnail

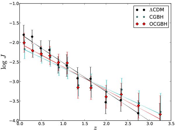
As Fig. 4 for the monochromatic 160 μm LFs. From these plots, one can see that the difference between the standard model consistency function (black circles) and the void model ones (colour circles) is not very significant, since most of the points lie within the error bars. The pΛ values discussed in Sect. 6.1 quantify this conclusion and agree with it.

Current usage metrics show cumulative count of Article Views (full-text article views including HTML views, PDF and ePub downloads, according to the available data) and Abstracts Views on Vision4Press platform.

Data correspond to usage on the plateform after 2015. The current usage metrics is available 48-96 hours after online publication and is updated daily on week days.

Initial download of the metrics may take a while.