Free Access

Fig. 4

thumbnail

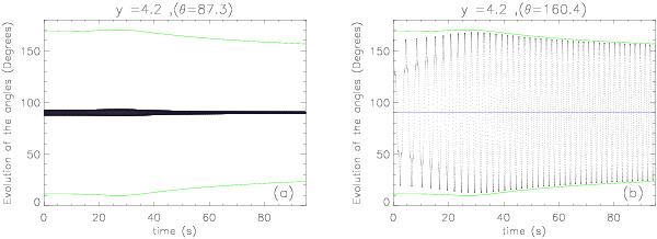
Evolution of the particle orbit pitch angle θ (black dotted line) compared with evolution of the loss cone angle α (green lines) for particle orbits 1 (left, initial pitch angle θ = 87.3°) and 2 (right, initial pitch angle θ = 160.4°). The blue line marks the 90° point (see main text for discussion).

This figure is made of several images, please see below:

Current usage metrics show cumulative count of Article Views (full-text article views including HTML views, PDF and ePub downloads, according to the available data) and Abstracts Views on Vision4Press platform.

Data correspond to usage on the plateform after 2015. The current usage metrics is available 48-96 hours after online publication and is updated daily on week days.

Initial download of the metrics may take a while.