Free Access

Fig. 2

thumbnail

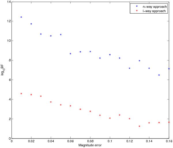
Simulated data. 2-way matches (named l-way approach in the figure) created from two groups of four bands: one group encompasses the Subaru bands U, B, R, I and the other group encompasses the Spitzer bands IRAC36, IRAC45, IRAC58, and IRAC80, and eight-way matches (named n-way approach in the figure) created from Subaru bands U, B, R, I and Spitzer IRAC bands IRAC36, IRAC45, IRAC58 and IRAC80 without grouping them per instrument. The samples are created from a specific elliptic, Ell5, and SWIRE SED templates of redshift 2.68, adding measurement errors to simulate real measurements.

Current usage metrics show cumulative count of Article Views (full-text article views including HTML views, PDF and ePub downloads, according to the available data) and Abstracts Views on Vision4Press platform.

Data correspond to usage on the plateform after 2015. The current usage metrics is available 48-96 hours after online publication and is updated daily on week days.

Initial download of the metrics may take a while.