Free Access

Fig. 7

thumbnail

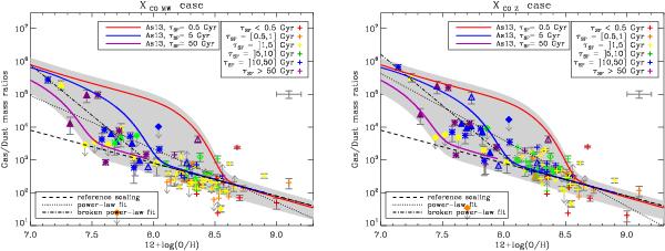
G/D as a function of metallicity for the 2 values of XCO: XCO,MW (left) and XCO,Z (right) with the chemical evolution model of Asano et al. (2013a). The symbols are the same as for Fig. 4. The colours delineate ranges in star formation timescales τSF. The model from Asano et al. (2013a) is overlaid on the points for various τSF = 0.5 (red), 5 (blue), 50 (purple) Gyr. The black dashed line represents the reference scaling of the G/D with metallicity (not fit to the data). The black dotted and dash-dotted lines represent the best power-law and best broken power-law fits to the data.

This figure is made of several images, please see below:

Current usage metrics show cumulative count of Article Views (full-text article views including HTML views, PDF and ePub downloads, according to the available data) and Abstracts Views on Vision4Press platform.

Data correspond to usage on the plateform after 2015. The current usage metrics is available 48-96 hours after online publication and is updated daily on week days.

Initial download of the metrics may take a while.