Free Access

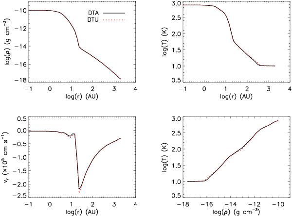
Fig. 8

thumbnail

Spherical collapse test. Density, temperature, and velocity profiles as a function of the radius and distribution of temperature as a function of the density for two calculations using adaptive time-stepping (DTA, solid black line) and with a unique time step (DTU, dotted red line) when the central density is ρc ~ 1 × 10-10 g cm-3.

Current usage metrics show cumulative count of Article Views (full-text article views including HTML views, PDF and ePub downloads, according to the available data) and Abstracts Views on Vision4Press platform.

Data correspond to usage on the plateform after 2015. The current usage metrics is available 48-96 hours after online publication and is updated daily on week days.

Initial download of the metrics may take a while.