Free Access

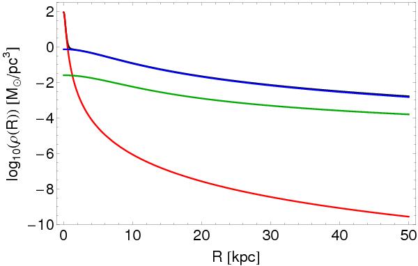
Fig. 3

thumbnail

Evolution of the mass density ρ(R) in the galactic plane (z = 0), as a function of the distance R from the center for SPM. The total mass density is shown in black, while we distinguish the three different contributions: the spherical nucleus (red), the disk (blue), and the dark matter halo (green).

Current usage metrics show cumulative count of Article Views (full-text article views including HTML views, PDF and ePub downloads, according to the available data) and Abstracts Views on Vision4Press platform.

Data correspond to usage on the plateform after 2015. The current usage metrics is available 48-96 hours after online publication and is updated daily on week days.

Initial download of the metrics may take a while.