Free Access

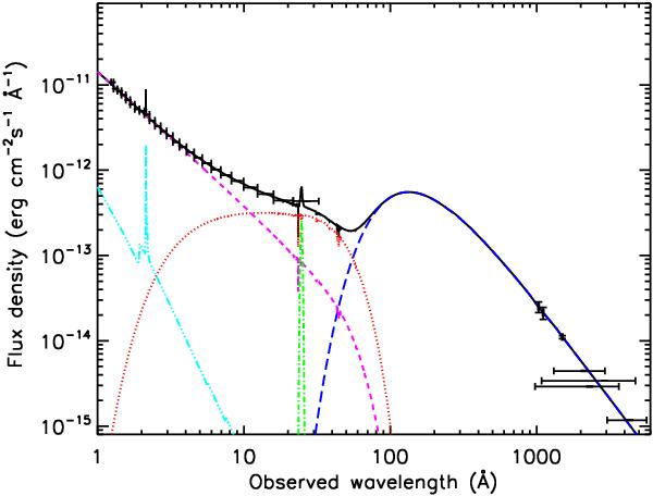
Fig. 4

thumbnail

Best fit Comptonization model for1H 0419–577. Solid line: total model. Crosses: fluxed EPIC-pn spectrum (rebinned for clarity), OM, COS, and FUSE data points with errors. Long-dashed line: disk blackbody component. Dotted line: warm Comptonized component. Dashed line: hot Comptonized component. Dash-dotted line: Gaussian O vii (triplet) emission line. Triple-dot-dashed line: cold reflection component, accounting for theFe Kαemission lines.

Current usage metrics show cumulative count of Article Views (full-text article views including HTML views, PDF and ePub downloads, according to the available data) and Abstracts Views on Vision4Press platform.

Data correspond to usage on the plateform after 2015. The current usage metrics is available 48-96 hours after online publication and is updated daily on week days.

Initial download of the metrics may take a while.