Free Access

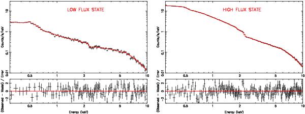
Fig. 7

thumbnail

EPIC-pn spectrum of1H 0419–577in the low flux state (Obs. 2, left panel) and in the present intermediate flux state (Obs. 6, right panel). The best fit Comptonization model is displayed as a solid line. Model residuals, in terms of σ, are also shown. We rebinned the spectra for clarity purposes. Note that error bars are as large as the thickness of the model line for the present dataset.

This figure is made of several images, please see below:

Current usage metrics show cumulative count of Article Views (full-text article views including HTML views, PDF and ePub downloads, according to the available data) and Abstracts Views on Vision4Press platform.

Data correspond to usage on the plateform after 2015. The current usage metrics is available 48-96 hours after online publication and is updated daily on week days.

Initial download of the metrics may take a while.