Free Access

Fig. 1

thumbnail

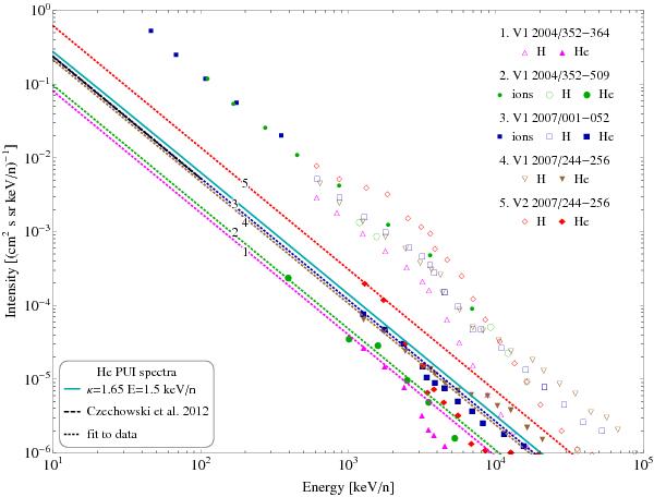
Heliosheath He ions spectral intensities based on published data. Oblique colored (numbered) dotted lines correspond to low-energy (<2 MeV/n, γ = −1.65) fits to He data obtained at different epochs as indicated in the upper right corner: 1. magenta (upward triangle): V1 (Stone et al. 2008b); 2. green (circle): V1 (Decker et al. 2005); 3. dark blue (square): V1 (Stone et al. 2008a); 4. brown (downward triangle): V1 (Stone et al. 2008b); and 5. red (diamond): V2 (Stone et al. 2008b). He/H data are denoted by filled/empty symbols and ions data by small symbols. Solid light blue line describes a kappa distribution with κ = 1.65 and average He+ ion energy at the termination shock equal to 1.5 keV/n. Short dashed black line in the upper left corner shows (part of) the run of the initial He spectrum used by Czechowski et al. (2012).

Current usage metrics show cumulative count of Article Views (full-text article views including HTML views, PDF and ePub downloads, according to the available data) and Abstracts Views on Vision4Press platform.

Data correspond to usage on the plateform after 2015. The current usage metrics is available 48-96 hours after online publication and is updated daily on week days.

Initial download of the metrics may take a while.