Free Access
    
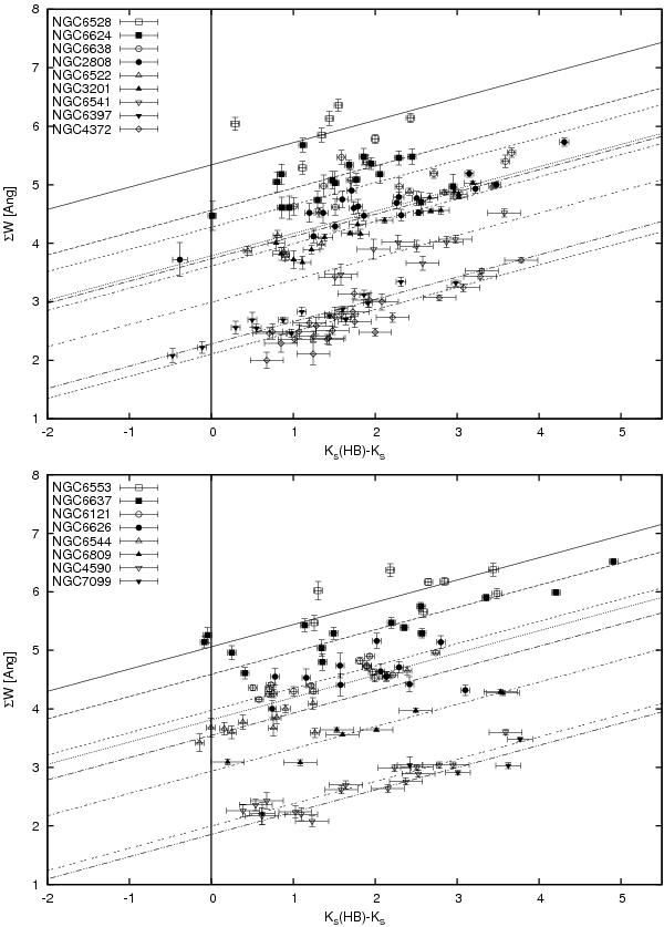
Fig. 8
 
      Summed Ca II line strength (∑ WR97) plotted against magnitude difference from the red clump Ks(RHB) − Ks for the selected clusters. The data for each cluster were fit with a line of slope −0.348 Å/mag. The data were split to avoid too much overlap.
This figure is made of several images, please see below:
    
    
  
Current usage metrics show cumulative count of Article Views (full-text article views including HTML views, PDF and ePub downloads, according to the available data) and Abstracts Views on Vision4Press platform.
Data correspond to usage on the plateform after 2015. The current usage metrics is available 48-96 hours after online publication and is updated daily on week days.
Initial download of the metrics may take a while.
 
  
          