Free Access

Fig. 7

thumbnail

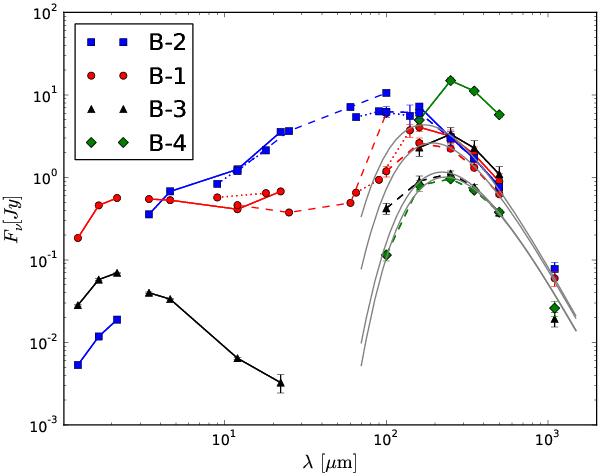
SEDs of the sources B-1 (red circle), B-2 (blue square), B-3 (black triangle), and B-4 (green diamond). 2MASS (J, H, Ks), WISE (3.4, 4.6, 12.0, 22.2 μm), Herschel (Getsources: 160, 250, 350, 500 μm) marked with solid line, AKARI (9 and 18 μm and 65, 90, 140, and 160 μm) marked with dotted line and IRAS (12, 25, 60, and 100 μm) marked with dashed line. Also fluxes obtained with aperture photometry (with 40 aperture radius and 55 and 85 annulus radii) are shown for Herschel 100, 160, 250, 350, 500 μm data (dashed line) and AzTEC/ASTE 1.1 mm data. Herschel and ASTE data are based on maps at 40 resolution, the others are catalogue values. Solid gray lines show a MBB fit, with β = 1.8, to the 160–500 μm Herschel aperture photometry fluxes.

Current usage metrics show cumulative count of Article Views (full-text article views including HTML views, PDF and ePub downloads, according to the available data) and Abstracts Views on Vision4Press platform.

Data correspond to usage on the plateform after 2015. The current usage metrics is available 48-96 hours after online publication and is updated daily on week days.

Initial download of the metrics may take a while.