Free Access

This article has an erratum: [https://doi.org/10.1051/0004-6361/201323059e]


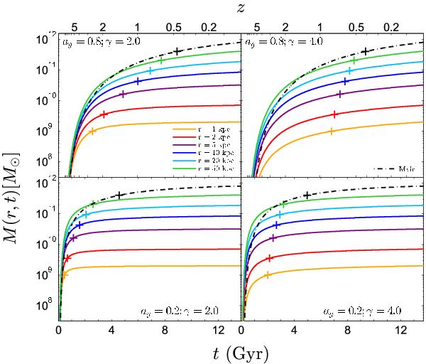
Fig. 3

thumbnail

Mass growth history for various radial shells, normalised to the final value as in Fig. 2, for different values of ag and γ. The formation epoch ag changes the growth of the individual shells and the overall growth pattern of the halo. This can also be seen in the half-mass time of the shells indicated with a plus on every curve. The parameter γ mostly influences how individual shells grow. This is seen as we change γ from 2 to 4 (left vs. right panels): only a small effect is seen in the overall growth of the halo, but the inner shells grow on much shorter timescales than the outer shells.

Current usage metrics show cumulative count of Article Views (full-text article views including HTML views, PDF and ePub downloads, according to the available data) and Abstracts Views on Vision4Press platform.

Data correspond to usage on the plateform after 2015. The current usage metrics is available 48-96 hours after online publication and is updated daily on week days.

Initial download of the metrics may take a while.