Free Access

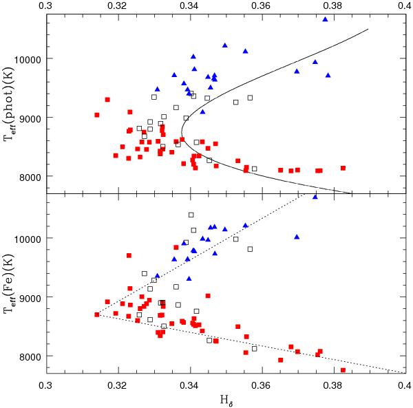
Fig. 6

thumbnail

Upper panel: comparison between temperatures from photometry (Teff(Phot)) and the index of the strength of the Hδ line (Hδ); overimposed is the relation expected from theoretical models (see Munari et al. 2005). Lower panel: the same, but for temperatures from Fe lines (Teff(Fe)). Different symbols are for stars of different groups (see Sect. 4): Group 1: red filled squares; Group 2: black open squares; Group 3: blue filled triangles. The fit lines used to define TCool and THot are also plotted in the bottom panel.

Current usage metrics show cumulative count of Article Views (full-text article views including HTML views, PDF and ePub downloads, according to the available data) and Abstracts Views on Vision4Press platform.

Data correspond to usage on the plateform after 2015. The current usage metrics is available 48-96 hours after online publication and is updated daily on week days.

Initial download of the metrics may take a while.