Free Access

Fig. 1

thumbnail

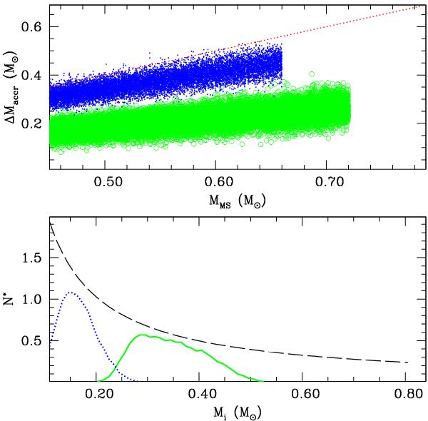
Upper panel: mass accreted as a function of the actual mass (both in solar mass units) for mMS (green open circles) and bMS (blue dots) synthetic stars, and Yaccr = 0.44. The red dotted line is the upper bound of the region where the mass Mi of the accretors is 0.1  M (see text for details). Lower panel: mass function of the accretors (bin size equal to 0.01  M). The solid green line corresponds to the seeds of mMS stars, the dotted line is the counterpart for bMS stars. The quantity N corresponds to the number of objects with mass Mi, normalized to the actual number of either bMS or mMS stars, multiplied by a factor 10. The dashed line displays a mass function dn/dm ∝ m-0.9 (see text for details).

Current usage metrics show cumulative count of Article Views (full-text article views including HTML views, PDF and ePub downloads, according to the available data) and Abstracts Views on Vision4Press platform.

Data correspond to usage on the plateform after 2015. The current usage metrics is available 48-96 hours after online publication and is updated daily on week days.

Initial download of the metrics may take a while.