Free Access

Fig. 8

thumbnail

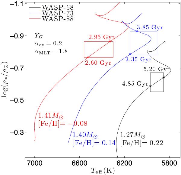
Evolutionary tracks in a Teff − log (ρ/ρ) HR diagram for WASP-68 (black), WASP-73 (blue), and WASP-88 (red), for their respective central masses and metallicities. These evolutionary tracks span from the zero-age main sequence to the beginning of the subgiant phase. The ages of the stars when they cross their respective 1σ box Teff − log (ρ/ρ) are also indicated.

Current usage metrics show cumulative count of Article Views (full-text article views including HTML views, PDF and ePub downloads, according to the available data) and Abstracts Views on Vision4Press platform.

Data correspond to usage on the plateform after 2015. The current usage metrics is available 48-96 hours after online publication and is updated daily on week days.

Initial download of the metrics may take a while.