Free Access

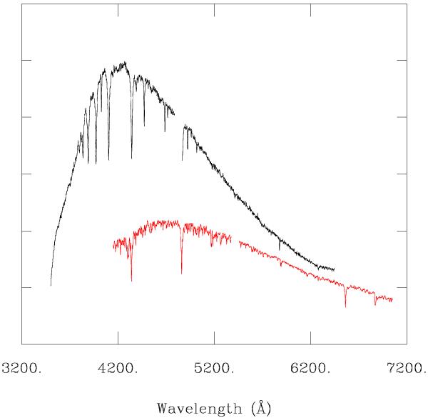
Fig. 1

thumbnail

Typical individual spectra obtained with an exposure time of 10 s on 09 September 2011 for EC 015411409 (top) and the main-sequence comparison star (bottom). The spectra have been arbitrarily normalised for visualisation purposes, and are not flux calibrated.

Current usage metrics show cumulative count of Article Views (full-text article views including HTML views, PDF and ePub downloads, according to the available data) and Abstracts Views on Vision4Press platform.

Data correspond to usage on the plateform after 2015. The current usage metrics is available 48-96 hours after online publication and is updated daily on week days.

Initial download of the metrics may take a while.