Free Access

Fig. 3

thumbnail

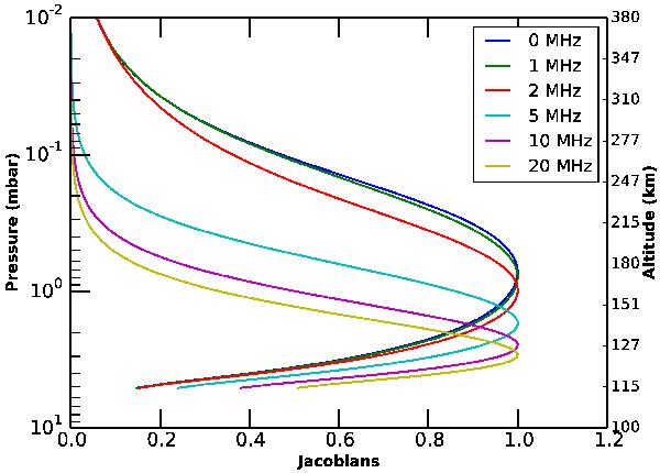
Disk-averaged Jacobians for various frequency offsets with regard to the HCN line center assuming a 1 × 10-9 constant HCN mole fraction above the condensation level (3 mbar). The curves are normalized to the highest value. The rotational smearing leads to much narrower peaks that reach maximum at 175 km for the line center frequency. Pure pencil-beam Jacobians for the nadir geometry at the line center peak at around 250 km (not shown).

Current usage metrics show cumulative count of Article Views (full-text article views including HTML views, PDF and ePub downloads, according to the available data) and Abstracts Views on Vision4Press platform.

Data correspond to usage on the plateform after 2015. The current usage metrics is available 48-96 hours after online publication and is updated daily on week days.

Initial download of the metrics may take a while.