Free Access

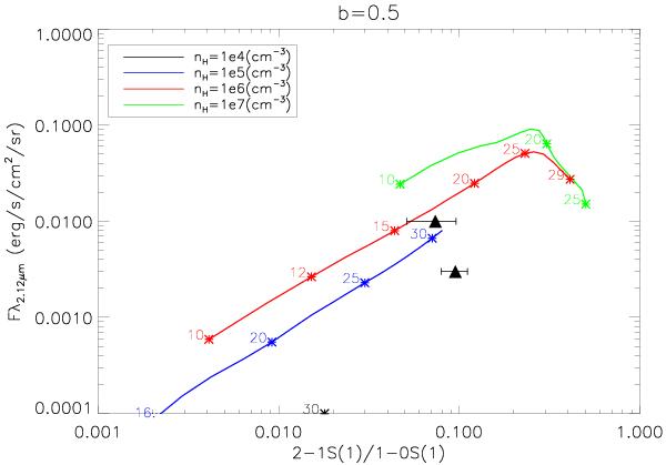
Fig. B.1

thumbnail

The H2 brightness in the v = 1–0 S(1) 2.12 μm line against the v = 2–1 S(1)/v = 1–0 S(1) ratio for two positions in the DG Tau blue lobe (filled triangles with error bars) and for the grid of planar C-shock models with b = 0.5 (color curves) calculated by Kristensen et al. (2008). Each curve corresponds to a different value of the preshock hydrogen nucleus density, increasing from bottom to top: nH= 104, 105, 106 and 107 cm-3. The shock speed Vs increases to the right and some values are marked along the curves to guide the eye.

Current usage metrics show cumulative count of Article Views (full-text article views including HTML views, PDF and ePub downloads, according to the available data) and Abstracts Views on Vision4Press platform.

Data correspond to usage on the plateform after 2015. The current usage metrics is available 48-96 hours after online publication and is updated daily on week days.

Initial download of the metrics may take a while.