Free Access

Fig. 2

thumbnail

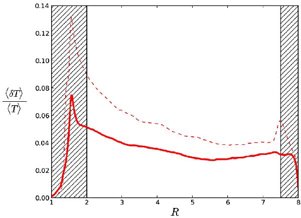
Temperature standard deviation profiles averaged over 900 inner orbits. The plain line show the result from the σhot case and the dashed curve show the result from the σcold run.

Current usage metrics show cumulative count of Article Views (full-text article views including HTML views, PDF and ePub downloads, according to the available data) and Abstracts Views on Vision4Press platform.

Data correspond to usage on the plateform after 2015. The current usage metrics is available 48-96 hours after online publication and is updated daily on week days.

Initial download of the metrics may take a while.