Free Access

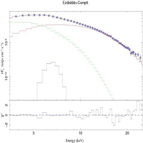
Fig. 6

thumbnail

RXTE/PCA pre-dip (3.525 keV range) unfolded spectrum, with contributions from spectral components and residuals, adopting the Eastern decomposition: green, red, and blue lines show contribution from accretion disk, Comptonized component, and Gaussian line, respectively.

Current usage metrics show cumulative count of Article Views (full-text article views including HTML views, PDF and ePub downloads, according to the available data) and Abstracts Views on Vision4Press platform.

Data correspond to usage on the plateform after 2015. The current usage metrics is available 48-96 hours after online publication and is updated daily on week days.

Initial download of the metrics may take a while.