Free Access

Fig. 10

thumbnail

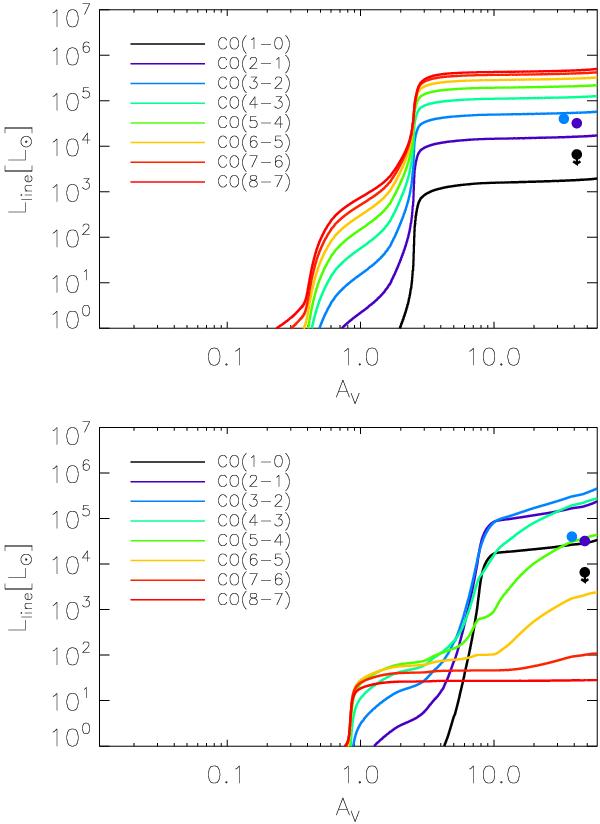
Cloudy model predictions for the CO line luminosities as a function of AV. The models are stopped at AV of 30 mag, and the covering factor is set to ~5%. Observations of the CO(1–0) (upper limit), CO(2–1), and CO(3–2) lines are represented by filled circles on the right-hand side of the plots. Top: no turbulent velocity included. Bottom: including a turbulent velocity uturb of 30 km s-1.

This figure is made of several images, please see below:

Current usage metrics show cumulative count of Article Views (full-text article views including HTML views, PDF and ePub downloads, according to the available data) and Abstracts Views on Vision4Press platform.

Data correspond to usage on the plateform after 2015. The current usage metrics is available 48-96 hours after online publication and is updated daily on week days.

Initial download of the metrics may take a while.