Free Access

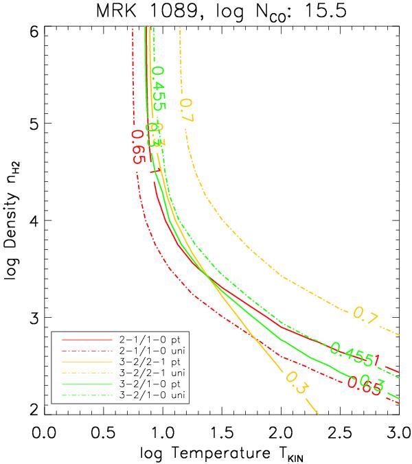
Fig. 8

thumbnail

Results from RADEX for Mrk 1089: contour plot in kinetic temperature (Tkin)–density (nH2) parameter space (logarithmic scale), for a column density of N(12CO) = 3 × 1015 cm-2. The colored lines correspond to the observed line ratios of CO(2–1)/CO(1–0) (red), CO(3–2)/CO(1–0) (green), and CO(3–2)/CO(2–1) (orange), for both uniform filling (dash-dotted) and point-like (plain) limits.

Current usage metrics show cumulative count of Article Views (full-text article views including HTML views, PDF and ePub downloads, according to the available data) and Abstracts Views on Vision4Press platform.

Data correspond to usage on the plateform after 2015. The current usage metrics is available 48-96 hours after online publication and is updated daily on week days.

Initial download of the metrics may take a while.